
如果能从命题p推出命题q,而且也能从命题q推出命题p ,则称p是q的充分必要条件,且q也是p的充分必要条件。

如果集合A是集合B的子集,并且集合B不是集合A的子集,那么集合A叫做集合B的真子集。如果A包含于B,且A不等于B,就说集合A是集合B的真子集。

两个集合的元素完全相同就是相等,只要有一个元素不同就是不相等。用包含的概念来说就是:A包含于B,而且B包含于A,叫做A=B,用集合符号来表示,集合相等的定义是:若A⊂B同时A⊃B,则称A与B相等,记为A=B。

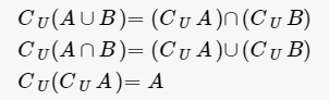
补集一般指绝对补集,即一般地,设S是一个集合,A是S的一个子集,由S中所有不属于A的元素组成的集合,叫做子集A在S中的绝对补集。

若A和B是集合,则A和B并集是有所有A的元素和所有B的元素,而没有其他元素的集合。A和B的并集通常写作 "A∪B",读作“A并B”,用符号语言表示,即:A∪B={x|x∈A,或x∈B}。