帮计算
首页
数学公式
会计公式
单位换算
常用公式
常用口诀
表格公式
常见定理
答疑解惑
定律
效应
纪年
纪年查询
干支纪年
古诗文
汉字
成语大全
当前位置 :
首页
/
数学公式
/
高中
/
数列
/
组合数公式
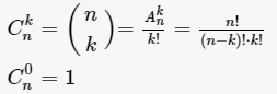
组合数公式
从n个不同元素中,任取k(k≤n)个元素并成一组,叫做从n个不同元素中取出k个元素的一个组合;从n个不同元素中取出k(k≤n)个元素的所有组合的个数,叫做从n个不同元素中取出k个元素的组合数。
换算器
温度单位换算器
重量单位换算器
面积单位换算器
体积单位换算器
压力单位换算器
功率单位换算器
时间单位换算器
角度单位换算器
电容单位换算器
速度单位换算器
热点知识
kpa与psi对照表
时间单位换算
压力单位换算表
降雨量怎么计算
夹逼定理
子丑寅卯辰巳午未申酉戌亥时间表
钻石重量单位换算表
世界主流国家和地区代码对照表
狄利克雷函数
皂化反应
新收录
数列通项公式
组合数公式
组合公式
排列公式
阶乘的定义
等差数列通项公式
等差数列求和公式
等差数列的性质
等比数列通项公式
等比数列求和公式