
集合是指具有某种特定性质的具体的或抽象的对象汇总成的集体,这些对象称为该集合的元素,数集就是数的集合。集合的范围比数集的范围大,数集只是集合中的一种而已,属于数集的一定属于集合,但属于集合的不一定是数集。
数学中一些常用的数集及其记法:
所有正整数组成的集合称为正整数集,记作N*,Z+或N+;
所有负整数组成的集合称为负整数集,记作Z-;
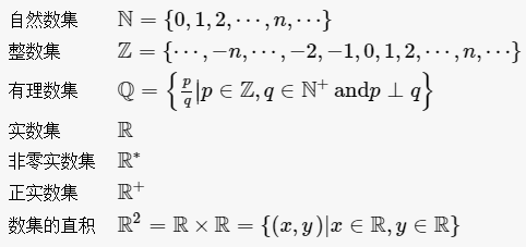
全体非负整数组成的集合称为非负整数集(或自然数集),记作N;
全体整数组成的集合称为整数集,记作Z;
全体有理数组成的集合称为有理数集,记作Q;
全体实数组成的集合称为实数集,记作R;
全体虚数组成的集合称为虚数集,记作I;
全体实数和虚数组成的复数的集合称为复数集,记作C。
注意:+表示该数集中的元素都为正数,-表示该数集中的元素都为负数,*表示在剔除该数集的元素0(例如,R*表示剔除R中元素0后的数集。即R*=R\{0}=R-∪R+=(-∞,0)∪(0,+∞)。)。
数集与数集之间的关系:
N*⊊N⊊Z⊊Q⊊R⊊C,
Z*=Z+∪Z-,
Q={m/n|m∈Z,n∈N*}={分数}={循环小数},
R∪I=C,
R*=R\{0}=R-∪R+=(-∞,0)∪(0,+∞),
R=R-∪R+∪{0}=R*∪{0}={小数}=Q∪{无理数}={循环小数}∪{非循环小数}。