本文介绍 Microsoft Excel 中 GAMMADIST 函数的公式语法和用法。

返回伽玛分布函数的函数值。 可以使用此函数来研究呈斜分布的变量。 伽玛分布通常用于排队分析。

重要: 此函数已被替换为一个或多个新函数,这些函数可提供更高的精确度,其名称更好地反映其用法。 虽然此函数仍可向后兼容,但您应该考虑从现在开始使用新函数,因为此函数在 Excel 的将来版本中可能不再可用。

有关新函数的详细信息,请参阅 GAMMA.DIST 函数。

语法

GAMMADIST(x,alpha,beta,cumulative)

GAMMADIST 函数语法具有下列参数:

  • X 必需。 用来计算分布的数值。

  • Alpha 必需。 分布参数。

  • Beta 必需。 分布参数。 如果 beta = 1,则 GAMMADIST 返回标准伽玛分布。

  • Cumulative 必需。 决定函数形式的逻辑值。 如果 cumulative 为 TRUE,则 GAMMADIST 返回累积分布函数;如果为 FALSE,则返回概率密度函数。

备注

  • 如果 x、alpha 或 beta 为非数值型,则 GAMMADIST 返回 错误值 #VALUE!。

  • 如果 x < 0,则 GAMMADIST 返回 错误值 #NUM!。

  • 如果 alpha ≤ 0 或 beta ≤ 0,则 GAMMADIST 返回 错误值 #NUM!。

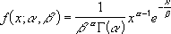
  • 伽玛概率密度函数的计算公式如下:

    公式

    标准伽玛概率密度函数为:

    公式

  • 当 alpha = 1 时,GAMMADIST 使用下面的公式返回指数分布:

    公式

  • 对于正整数 n,当 alpha = n/2、beta = 2 且 cumulative = TRUE 时,GAMMADIST 返回 (1 - CHIDIST(x)),自由度为 n。

  • 如果 alpha 为正整数,则 GAMMADIST 也称为爱尔朗 (Erlang) 分布。

复制下表中的示例数据,然后将其粘贴进新的 Excel 工作表的 A1 单元格中。要使公式显示结果,请选中它们,按 F2,然后按 Enter。如果需要,可调整列宽以查看所有数据。

数据

说明

10.00001131

用来计算分布的值

9

Alpha 分布参数

2

Beta 分布参数

公式

说明

结果

=GAMMADIST(A2,A3,A4,FALSE)

使用 A2、A3、A4 中 x、alpha 和 beta 值算出的概率密度(累积参数为 FALSE)。

0.032639

=GAMMADIST(A2,A3,A4,TRUE)

使用 A2、A3、A4 中 x、alpha 和 beta 值算出的累积分布(累积参数为 TRUE)。

0.068094